PHƯƠNG PHÁP NHẬN BIẾT DUNG MÔI ETANOL VỚI CÁC CHẤT HỮU CƠ
1. Nhầm lẫn các chất hữu cơ
Ba chất hữu cơ là etanol, glixerol, glucozo đều là ba chất lỏng không màu rất khó nhận biết trong quá trình nghiên cứu. Nhưng chúng ta lại không thể ngửi hoặc nếm thử vì điều đó rất nguy hiểm, nếu chất hóa học đó có độc thì vô tình bản thân ta sẽ tự gây hại cho sức khỏe của mình, vì vậy quá trình nhận biết phải tuân theo quy trình hóa học, có kiến thức.

Nhầm lẫn các chất hữu cơ trong thí nghiệm
2. Phương pháp nhận biết etanol, glixerol, glucozo bằng một thuốc thử duy nhất
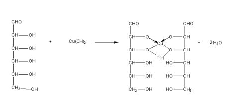
Đối với ba chất etanol, glucozo và glixerol để nhận biết ta chỉ cần một thuốc thử, đó là Cu(OH)2. Quy trình thực hiện, cho Cu(OH)2 vào ba lọ dung dịch chưa biết tên kia sau đó nung nóng cả ba lọ. Hiện tượng nhận thấy là có một dung dịch chuyển sang màu xanh da trời ở nhiệt độ thường, có kết tủa màu đỏ son khi đun nóng đó là dung dịch glucozo. Một dung dịch đổi sang màu xanh da trời ở nhiệt độ thường, không có kết tủa màu đỏ son khi đun nóng đó là dung dịch glixerol. Dung dịch còn lại không có phản ứng gì là etanol. Ba phương trình hóa học chứng minh như sau:

Glucozo tác dụng với Cu(OH)2

Nhận biết etanol vì nó không tác dụng với Cu(OH)2
3. Điều chế etanol, glucozo, glixerol
- Etanol được sản xuất bằng công nghiệp hóa dầu thông qua công nghệ hyđrat hóa etylen. Cho etylen hợp nước ở 300 độ C, áp suất 70-80 atm với chất xúc tác là axit wolframic hoặc axit phosphoric như phương trình dưới đây:

- Trong công nghiệp, glucozơ được điều chế bằng cách thủy phân tinh bột nhờ xúc tác axit clohiđrit loãng hoặc enzim. Người ta cũng thủy phân xenlulozơ ( vỏ bào, mùn cưa) nhờ xúc tác axit clohiđrit đặc thành glucozơ để làm nguyên liệu sản xuất ancol etylic. Hai phương pháp đó đều được tóm tắt bằng phương trình phản ứng như sau:

- Trong công nghiệp, glixerol được điều chế như sau: cho propen tác dụng với clo ở 45 độ C thu được 3−3−clopropen, cho 3−3− clopropan tác dụng với clo trong nước thu được 1,3−1,3− điclopropan−2−−2−ol, sau đó thủy phân 1,3−1,3− điclopropan−2−−2−ol bằng dung dịch axit thu được glixerol.

Giờ chắc bạn đã biết cách nhận biết etanol, glixerol và glucozo rồi phải không ?
THIÊN PHƯỚC GROUP chuyên cung ứng HÓA CHẤT DUNG MÔI
Giá rẻ - chất lượng và uy tín nhất thị trường Miền Nam
Bây giờ bạn đã biết về ethanol rồi phải không?
Gọi ngay Mr. Ánh: 0913 716 139 - 08 62 678 168
Địa chỉ: 42/15 Trần Hưng Đạo, P.Tân Sơn Nhì, Q. Tân Phú
Sản Phẩm Thuộc Thiên Phước Group
-------------------------------------------------------------------


Email
Liên hệ